圖片新聞
中國科學院武漢巖土力學研究所在干熱巖裂隙換熱量化表征領域取得新進展,相關研究成果發表于《Journal of Rock Mechanics and Geotechnical Engineering》等權威期刊。該研究創新性地構建了裂隙內部流體與裂隙壁面的高精度溫度場解析解,提出了干熱巖綜合換熱系數(OHTC)計算新公式,并成功實現了現場尺度數值模擬應用。研究成果不僅豐富了巖體裂隙流動換熱理論,也為干熱巖地熱資源的評價與開發提供了重要的理論支撐和方法依據。
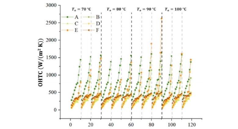
干熱巖作為一種清潔、可再生且儲量巨大的非碳基新能源,其開發利用對實現"雙碳"目標具有重要意義。在干熱巖地熱資源的開發過程中,裂隙網絡的有效激發與流體循環注采是關鍵,而準確的裂隙換熱系數模型則是資源定量評價與開發預測的基礎。然而,在一類典型的巖體裂隙換熱試驗中,由于裂隙壁面與裂隙流體的精確溫度場解析解長期缺失,研究多采用簡化和近似方法構建換熱系數模型,導致在較高流速條件下易出現數值震蕩或較大偏差。盡管部分實用模型表現出較好的穩健性并被納入行業標準,但不同模型間的準確性評估仍缺乏客觀標準。
針對上述問題,武漢巖土所巖土工程前沿交叉研究中心(籌)白冰研究員及團隊,依托在干熱巖裂隙換熱領域的長期研究基礎,采用實驗測試、解析建模與數值模擬相結合的方法開展研究,力圖得到更客觀的換熱系數模型。團隊首先在實驗測試數據指導下開發并驗證了數值模型,通過3D單裂隙換熱模擬揭示了換熱特性規律;基于此提出數值換熱系數(NHTC)并實現算法化,其核心是將換熱系數作為裂隙換熱模型的反演參數,通過物理試驗與數值試驗數據聯合確定。
進一步,團隊提出回避偏微分方程組直接求解的困難,轉而直接構造裂隙壁面與流體溫度場。在實驗數據特別是3D模擬結果的啟發下,結合流動邊界層模型,成功獲得與3D數值模擬結果高度吻合的溫度場解析解?;谶@一結果,進一步導出裂隙對流換熱系數新公式,并證明該公式可有效避免異常換熱系數的產生,是目前具有客觀性的裂隙總體換熱系數公式,可用作試驗數據處理中的換熱系數定義式。
同時,為提升研究成果的工程應用價值,團隊以上述換熱系數定義式為基準形成可直接嵌入數值模擬器的換熱系數關聯式,并在數值模擬器中實現該方案。以青海共和干熱巖示范工程為背景進行算例驗證,取得了積極效果。這一研究成果為干熱巖地熱資源開發提供了重要的理論依據和技術支撐。
此項研究得到了國家自然科學基金項目(Grant Nos. 41972316 , 41672252)的資助,本所研究生和聯合培養研究生參與了相關工作。
論文鏈接:
1. https://doi.org/10.1016/j.jrmge.2024.03.044
2. https://link.springer.com/article/10.1007/s10765-020-02691-y
3. https://d.wanfangdata.com.cn/periodical/cdlgxyxb202203011
4.https://kns.cnki.net/kcms2/article/abstract?v=F7lgbn8YeJrleSX104_7oVTsoi9vyECmAxx8fagKy9Cqjr4VOc2LRP0RuUHyPzJr4CHGTe6y1rbjOsC3-j4YCY6XpequIis8TuqJjoygGpVsZwej7YKa7GaqwYX6tu0i8-7NSNNQIDQRDax02PwtOv8CWtKDdHInjl7IdG1eEIUOWz2TfuhHflRCxss7TQE6&uniplatform=NZKPT&language=CHS

圖1 三維條件下單裂隙換熱流體和壁面的溫度場:解析解與數值解的比較

圖 2一組流動換熱試驗數據集上不同換熱系數的公式比較(A為本方法)

圖3 場地尺度采熱算例的溫度場分布特征
新聞